📘 Access 10,000+ CBC Exams With Marking Schemes

Prepare your learners for success! Get CBC-aligned exams for Grades 1–9, PP1–PP2, Playgroup and High School - all with marking schemes.

Browse Exams

Instant download • Trusted by 100,000+ teachers • Updated weekly

Alliance High School Chemistry Paper 2 Trial Examinations 2016 Question Paper

Alliance High School Chemistry Paper 2 Trial Examinations 2016 

Course:Chemistry

Institution: Mock question papers

Exam Year:2016



Alliance High School
2016 Trial Examination

Chemistry
Paper 2

1. The figure below shows a section of the periodic table. The letters do not represent the actual symbols of the elements

ptble05102016.png

(a) Give the name of the family of the elements to which M belongs
(b) Write the electronic configuration of the stable ion of element;
(i) L……………………….. (1 mark)
(ii) P……………………… (1 mark)
(c) Give one use of element (1 mark)
(i) A……………………….. (1 mark)
(ii)M.....…………………… (1 mark)

(d) The melting point of element C is higher than that of G. Explain (2 marks)
(e) What is the structure of element J? (1 mark)
(f) With explanation compare the atomic radius of 0 and P?
(2 marks)
(g) Which is the most reactive?
(i) Non-metal? Explain (2 marks)
2. (a) State two factors that should be considered when choosing fuel for cooking (2 marks)
(b) The diagram below represents a set-up that was used to determine the molar beat of combustion of ethanol.

molarheat05102016.png

During the experiment, the data given below were recorded;
Volume of eater 450 cm3
Initial temperature of water 25oC
Final temperature of water 46.5oC
Mass of Ethanol + lamp 125.5g
Mass of Ethanol + lamp 124.0g
After burning Calculate the;
(i) Heat evolved during the experiment (Density of water = lg/cm3) specific heat capacity of water 4.2KJ/Kg/K:)
(ii) Molar heat of combustion of ethanol (2 marks)
(iii) Write the thermo-chemical equation for the combustion of ethanol (1 mark)
(iv) Molar heat of combustion of ethanol obtained in b(i) above lower the theoretical value.
State the two sources of error in the experiment. (012 0=16 H/\l) (2 marks)
(d) On the axis, draw an energy level diagram for the combustion of ethanol

combustion05102016.png

3. Study the flow chart below that shows some reactions of dried air then answer the questions that follow:

flow05102016.jpg

(a) Identify; (2 marks]
(i) Solid A
(ii) Gas D
(iii) Gas X
(iv) Solid B
(b) Why is the amount of solid B obtained much less than solid A? (2 marks)
(c) Write a balanced equation for the reaction between solid B and water. (2 marks)
(d) (i) How can gas Y be obtained from gas X in the laboratory? (2 marks)
(ii) Write an equation for the process in d(i) above (l mark)
(e) Which gas is absorbed by NaOH in step I (1 mark)
(t) Gas Y in step I is impure. Name one impurity it contains. (l mark)
(g) (i) What name is given to the process that occurs in step II? (1 mark)
(ii) Explain the effect of using much lower temperature than that in step II
4. The table below gives the volume of gas produced when different volume of hydrochloric acid is reacted with 1.6g of zinc powder at room temperature

zinchcl05102016.jpg

(a) Write an equation for the reaction between zinc and HCl (1 mark)
(b) Plot a graph of the gas produced against the volume of the acid added. (3 marks)
(c)From the graph determine;
(i) The volume of gas produced if 25cm3 of 1M HCl had been used.
(ii) The volume of 1M HCl which reacted completely with 1 .6g of zinc powder. (1 mark)
(d) State and explain the effect on the rate of production of the gas if;
(i) 1.6g of zinc granules were used instead of zinc powder. (2 marks)
(ii) 2M HCl was used instead of 1M HCl.,

5. The flow chart below shows the industrial manufacture of Nitric (V) acid

nitricacid05102016.jpg

(a) Identify substances; (2 marks)
B ………………..
C ………………..
E ………………..
F ………………...
(b) Describe what happens in the catalytic chamber (2 marks)
(c) State what takes place in chamber D (1 mark)
(d) 60-65% Nitric (V) acid is produced in the absorption chamber. Describe how the acid can be concentrated. (2 marks)
(e) Copper reacts with Nitric (V) acid and not hydrochloric acid. Explain (2 marks)
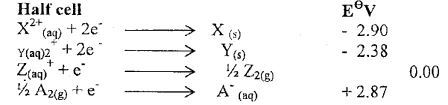
6. Study the given reduction potentials and answer the questions that follow.
(The letters do not represent actual symbols of the elements)

halfcell05102016.jpg

(a) (i) Which element is likely to be hydrogen?
(ii) Draw an electrochemical cell made up of Y and X half cells. Show the direction of flow of electrons (2 marks)
(iii) Draw a diagram of a set-up showing how a spoon made of iron can be electroplated with silver metal from a silver solution (2 marks)

b) The diagram below represents a set-up that was used during electrolysis of a solution of magnesium sulphate using inert electrodes.

electrolysis05102016.jpg

(i) Identify the ions present in the electrolyte
(ii) Write ionic equations for the reactions occurring at;
Cathode
Anode
(iii) Calculate the quantity of electricity in coulombs that will liberate 1.2dm3 of oxygen gas at r.t.p
(Molar gas volume at r.t.p = 24dm3, 1 Farady = 95600C/mole)
7. (a) Give the systematic names of the following compounds,

comp05102016.png

(b) Study the flow chart below and answer the questions that follow;

cac205102016.jpg

(i) Identify reagent X
(ii) Name the catalyst used in step 4
(iii) Draw the structure of gas Y
(iv) What name is given to the process that takes place in step 5.
(v) Identify substance Z
(vi) Draw the structure of substance Z.
(vii) State any two environmental effects of the product in step 5.






More Question Papers


Exams With Marking Schemes

End Term 3 Exams

Mid Term Exams

End Term 1 Exams

Opener Exams

Full Set Exams



Return to Question Papers